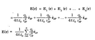
Consider a system of charges q1, q2, ..., qn with position vectors r1,r2, ..., rn relative to some origin O.
Like the electric field at a point in space due to a single charge, electric
field at a point in space due to the system of charges is defined to be the force
experienced by a unit test charge placed at that point, without disturbing the
original positions of charges q1, q2, ..., qn.
We can use Coulomb’s law and
the superposition principle to determine this field at a point P denoted by
position vector r.
Electric field E1 at r due to q1 at r1 is given by 
where 1P ˆr is a unit vector in the direction from q1 to P, and r1P is the distance between q1 and P. In the same manner,
electric field E2 at r due to q2 at r2 is
expressions hold good for
fields E3, E4, ..., En due to charges q3, q4, ..., qn.By the superposition
principle, the electric field E at r due to the system of charges is (as shown in Fig)
E is a vector quantity that varies from one point to
another point in space and is determined from the positions of the source
charges.
_____________________________________________________________________________________________
Q1: What is a charge?
Q2: What is the SI unit of Charge?
Q3: What is charge on a neutron?
Q4: what is the change on an electron?
Q5: Explain what is an fundamental electronic charge?
Q6: what is main cause of charging?
Q7: Electrostatic forces are much stronger than gravitational forces. Give one example.
Q8: What is the value of charge on an electron? is a charge less than this value possible?
Q9: What is charge on a photon?
Answer these questions in comment box and help your friends
 
 
S I unit of charge is Coulomb
ReplyDelete